LINKÖPING
Simulation Transferability
1 Mathematical Definitions
Automated shuttles operate according to their implemented system logics for safely dealing with their surrounding traffic situations and do proper reactions. Their driving behaviours are different from human-controlled vehicles, e.g. there is no human-like imperfection manoeuvres and no speed deviation due to different human characteristics. The control logic of automated shuttles at the test site Linköping belongs to trade and business secrets and cannot be obtained. Therefore, the applicability of the current models in SUMO are examined in AP10.2, and the result is reported in D10.2, D10.3 and Gugsa Gebrehiwot (2021). In the following, the relevant models are explained. The general model explanations and usages can be found under (SUMO 2023).
1.1 car-following model
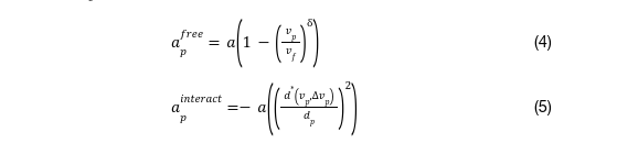
The car-following model determines the speed of a vehicle in relation to the vehicle ahead of it. The Intelligent Driver Model (IDM-Model), proposed by Martin Treiber (Treiber et al. 2000), is used. The car-following behaviours are described with speed and acceleration according to the formulas below.
In (3) it is clear to see that Vehicle p’s acceleration can be divided into a free-travelling term and an interaction term, as indicated in (4) and (5) respectively. The former one refers to the situation where the distance to the leading vehicle so large that the respective acceleration is decided by the desired speed. When the speed vp is close to the desired speed, the acceleration apwill be going to vanish and Vehicle p will approach its desired speed vf gradually. Regarding the interaction term, large speed difference will be compensated whilst braking harder than the comfortable braking b would be avoided. When the distance between two vehicles is small with negligible speed difference, the distance between the vehicles will be quickly enlarged in order to correspond to the given minimal distance and time headway (d0 and T).
1.2 lane-changing model
The lane-changing model determines lane choice on multi-lane roads and speed adjustments related to lane changing. In SUMO, the lane-changing strategy is quite complex for dealing with different situations and includes evaluating suitable subsequent lanes, determining urgency, adjusting speed for lane-changing, preventing deadlock, cooperative lane-changing, tactical lane-changing, and regulatory lane-changing, where the latter one is to deal with the situation to move back onto the rightmost lane after overtaking. Each vehicle has a time-decremented variable keepRightProbability q, which can trigger a lane change to the right. The keepRightProbability q of Vehicle p after overtaking is updated with Equation (6).
Moreover, there is a variable speedGainProbability to regulate tactical lane-changing. This variable is a signed variable, and its sign indicates the preferable changing direction d (-1 for right and 1 for left). The potential speed gain is calculated with
Automated shuttles, deployed at the test site Linköping, follow the pre-defined virtual rail track, and are not allowed to do any lane-changing manoeuvres. So, the shuttles are set to run on the rightmost side on roads and the sublane model (Semrau & Erdmann et.al. (2016)) in SUMO is used to reflect situations that some other road users, especially cyclists and pedestrians, may share the lane space with automated shuttles, overtake or yield the automated shuttles running close to them. The sublane model can be activated by using SUMO’s configuration option ‘lateral-resolution’. Users should bear in mind that the smaller the value of the ‘lateral-resolution’, the higher the running time for computing the simulation state.
In order to properly reflect the investigated situation, the additional parameters, which can be defined in the sublane model, are listed and explained below (SUMO, 2023).
- lcSublane: The eagerness for using the configured lateral alignment within the lane. Higher values result in increased willingness to sacrifice speed for alignment. default: 1.0, range [0-inf]
- lcPushy: Willingness to encroach laterally on other drivers. default: 0, range [0-1] If this is set, vehicles will start to change laterally even though their target sublanes(s) are still occupied. For urgent (strategic) lane-changes this produces behavior where the ego vehicle violates the lateral minimum gap of its neighbor and thereby triggers evasive lateral movement (pushing).
- lcAssertive: Willingness to accept lower front and rear gaps on the target lane. default: 0, range 0 to 1
- lcImpatience: dynamic factor for modifying lcAssertive and lcPushy. default: 0 (no effect) range -1 to 1. Impatience acts as a multiplier. At -1 the multiplier is 0.5 and at 1 the multiplier is 1.5
- lcTimeToImpatience: Time to reach maximum impatience (of 1). Impatience grows whenever a lane-change manoeuvre is blocked.
- lcAccelLat: maximum lateral acceleration per second. Together with maxSpeedLat this constrains lateral movement speed.
- latAlignment: preferred lateral alignment within a lane.
- right: stay on the right side of the lane
- center: stay in the center of the lane
- left: stay on the left side of the lane
- arbitrary: keep the current lateral alignment. (Vehicle will only change laterally in response to surrounding vehicles or changing lane width
- compact: stay close to the neighbouring vehicle on the right
- nice: align with the nearest sublane boundary to the right. (to avoid using more sublanes than necessary)
- <FLOAT>: preferred lateral offset in m from the center of the lane
- lcMaxSpeedLatStanding, lcMaxSpeedLatFactor: Compute a boundary on lateral speed using lcMaxSpeedLatStanding + lcMaxSpeedLatFactor * speed. If factor > 0 this is an upper bound on lateral speed and if factor < it acts as a lower bound.
1.3 Intersection model
The intersection model is to reflect how vehicles run and react with other road users at intersections in the simulation when they approach an intersection and when they are within an intersection respectively. Several factors, such as right-of-way rules, gap acceptance and avoiding junction blockage are considered. In SUMO, a vehicle notifies its approach to the entrance links of the next few intersections on its current route (up to about 3000 meters away). Accordingly, a vehicle approaching on a non-priority road would not be “surprised” by the sudden appearance of other road users. At each approaching intersection, a vehicle computes how long it will occupy the intersection and then examines the traffic situations at the incoming and outgoing roads at the intersection. If the requested time period corresponds to the given required safety clearance, the vehicle is allowed to pass through the entry link and enter the intersection. When the ego vehicle and another approaching vehicle have the same target lane, the respective safety will be checked according to the speed difference between both vehicles and the follower vehicle needs to be able to stop before the leader vehicle. Regarding vehicle dynamics within an intersection, the functionality of the car-following model is constantly being used to keep vehicles at a safe distance when interacting within intersections. Different rules and criteria are defined accordingly. The detailed description of SUMO’s intersection model can be found in (Erdmann & Krajzewicz 2013).
2 Parameterization
The parameter setting for automated shuttles is based on the collected data, the calibration and validation results at the test site Linköping.
3 Transferability
The transferability of the parameter setting is dependant of the characteristics of the simulated automated shuttles and the site environment. At the test site Linköping, the automated shuttles are EasyMile shuttles. The whole site is mainly on campus and in a residential district, located in a suburban area. There are only priority-controlled intersections on campus and several intersections in the residential area are controlled with traffic signals. Most roads are two-way with one lane at each direction. There is a shared space around 1 km on the route. If the corresponding similarity is quite high, the respective transferability would be also high. However, it is recommended to further calibrate/validate the parameter setting with real data collected at a new site.
References
SUMO (2023). SUMO online documentation, https://sumo.dlr.de/docs/index.html.
Treiber, T.; Hennecke; A. & Helbing, D. (2000). Congested traffic states in empirical observations and microscopic simulations. Physical review. E, 62, pp. 1805–1824. http://dx.doi.org/10.1103/PhysRevE.62.1805
Gugsa Gebrehiwot, R. (2021). Traffic Simulation of Automated Shuttles in Linköping University Campus, Master thesis, Department of Science and Technology of Linköping University, Sweden. https://www.diva-portal.org/smash/get/diva2:1582495/FULLTEXT01.pdf
Erdmann, J. (2015). SUMO’s Lane-changing model. Lecture notes in control and information sciences, 13, pp. Springer. pp.105-123. https://doi,org/10.1007/978-3-319-15024-6_7. ISBN 978-331915023-9
Semrau, M. & Erdmann, J. (2016). Simulation framework for testing ADAS in Chinese traffic situations. SUMO User Conference 2016 – Traffic, Mobility, and Logistics, 30, pp. 103-115. ISSN 1866-721X.
Erdmann, J. & Krajzewicz, D. (2014). SUMO’s Road Intersection Model. Simulation of Urban Mobility Lecture Notes in Computer Science, 8594 (VII). Springer. pp. 3-17. ISBN 978-3-662-45079-6